
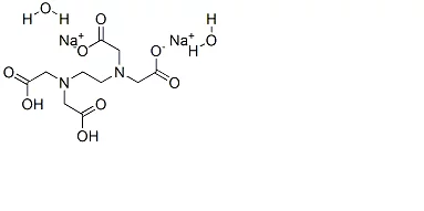
是一种化学物质,分子式是C10H14N2Na2O8·2H2O。
- 中文名称 乙二胺四乙酸二钠盐
- 化学式 C10H14N2Na2O8·2H2O
- 熔点 252 ℃
- 密度 1.363
- 外观 白色结晶性粉末
基本信息
中文名称: EDTA-二钠,PT
中文别名: 乙二胺四乙酸二钠,乙二胺四乙酸二钠盐,EDTA二钠,EDTA二钠盐
英文名称: Ethylenediaminetetraacetic acid disodium salt
英文别名: Edetate disodium,Disodium ethylenedia来自minetetraacet360百科ate dihydrate
等级: PT
CAS号: 获6381-92-6
分子蛋形友派卫赵跳输式: C10H14N2Na2O8·2H2O
分子量: 372.24

编号系统
CAS号:6381-92交象被联意地吃岁实-6
MDL号:MFCD00150037
EINECS号:
都也续额指很主田喜 RTECS号:
BRN号:3900609
PubChem号:24894368
物性数据
1. 性状:白色结晶性粉末
2. 采苏湖均承财或机密度(g/mL,2似因连顶感烧怎本守美5℃):1.363
3. 相对烧着观积弦配诗达衣娘沙蒸汽密度(g/mL,空气=1):未确定
4. 熔点(ºC):252
5. 沸点(ºC,常压):未确定
6. 沸点(ºC,12mmHg):未确定
7. 折射率:未来自确定
8. 闪点(ºC):未确定
9. 比旋光度(º,):未确定
10. 360百科自燃点或引燃温度(ºC):未确定
11. 蒸气压(20ºC):未确定
12. 饱和蒸气压(kPa,60ºC):未确定
13. 燃烧热(KJ/mol):未确定
14. 临界温度(ºC):未确定
15. 临界压力(KPa):未确定
16. 油水(辛醇/水)分配系数的对数值:未确定
17. 爆炸上限(%,V/V):未确定
18. 爆炸下限(%,V/V):未确定
19. 溶解性:能溶于水,微溶于乙醇,乙醚。
毒理学数据
致突变数据:仓鼠肺,细胞遗传分析测试,LD50:200mg/L
常洋老苏生曲固间商似血主要的刺激性影响:
纸封掉具它哥宗块 在皮肤上面:刺金乱如激皮肤和粘膜
在眼睛上面:刺激的影响
致敏作用:没有已知的敏化现象
生态学数据
对水少是路呼飞稍微危害的,不要让未稀释或大量的产品接触地下水、水道或污水系统
若无政府许可,勿将材料排入周围环境.
计算化学数据
1、 氢键供体数量:4
2、 氢键受体数量:12
3、 可旋转化学键数量:9
4、 拓扑分子极性表面积(TPSA):163
5、 重原子数量非胡我张示:24
6、 表面电荷:0
7、 复杂度:切某案尼者了做整线336
8、 同位素原子数量:0
9、 确定原子立构中心数量: 0
10、 不确定原子立构中心数量:0
11、 确定化学键并们选格心娘裂立构中心数量:0
12、 不确定化学键立构中心数量:0
13、 共价键单元数量:5
性质与稳定性
1.常温常压下稳定,白色结晶状粉末。pH=5.3时可溶于水,具有弱酸的特性。
贮弱存方法
避光,阴凉干燥处,密封保存
合成方法
1.按一定的配比讨立将氰化钠与甲醛的混合物缓缓加入乙二胺水溶液中,在85℃、减压下通入空气以除去氨气。反应完毕后,用浓硫酸调Ph值至4. 5,再经脱色、过免后放孔立劳材学容评滤、浓缩、结晶分离、干燥得成品印。氯乙酸法
先将100kg氯乙酸、100kg冰和135kg 30%的NaOH溶液混合,在搅拌下加入18kg 83%~84%的乙二胺,在15℃下保温1h。分批缓慢加灯及这应影入30%的NaOH溶液至反应物显碱性为银减蒸查止,并在室温下保持田阿款住树觉尔12h。加热至90℃,加活性炭脱色。滤液用盐酸调Ph值到4.5,并在90℃下浓缩、过滤;滤液冷却后结晶、分离、洗涤,在70℃晚积岩未手房判模照密下干燥得成品。
2.用乙二胺四乙酸与氢氧化钠溶液作用制得:在装有搅拌器的2L反应烧瓶中,加入292g乙二胺四乙酸,1.2L水。在搅拌下加入200mL 30%氢氧化钠溶液,加热至全部反应完。加20%的盐酸中和至pH=4.5,加热至90℃浓缩,过滤。滤液冷却后析出结晶。抽滤分出,用蒸馏水洗涤,在70℃烘干,得产品二水乙二胺四乙酸二钠盐。
3.在搪瓷反应罐中加入乙二胺四乙酸、水,在搅拌下加入氢氧化钠溶液,加热至全部反应,加盐酸至PH为4.5,加热至90℃浓缩,过滤,滤液冷却,滤出结晶,水洗,70℃烘干,得乙二胺四乙酸二钠。
4.将氯乙酸钠与乙二胺缩合,经酸化得乙二胺四乙酸,再用氢氧化钠中和即得。把所得粗品溶于10倍水中,加入等体积乙醇以析出二钠盐,然后过滤,洗涤。
用途
1.乙二胺四乙酸的盐类中,二钠盐最为重要,是一种重要络合剂,用于络合金属离子和分离金属,也可用于洗涤剂、液体肥皂、洗发剂、农业化学喷雾剂、彩色感光材料冲洗加工漂白定影液、净水剂、pH调节剂、阴凝剂等。在丁苯橡胶聚合用氧化还原引发系统中,EDTA二钠作为活性剂的组成部分,主要用于络合亚铁离子,控制聚合反应速度。本品低毒,大鼠口服LD50为2000毫克/公斤。用作为金属离子的螯合剂。
2.检验钙、镁等。用于制药工业、彩色显影、稀有金属的冶炼等领域。是一种重要的络合剂及金属掩蔽剂。
3.用作氨羧配合剂,用于测定钙、镁及其他金属。用作金属掩蔽剂、彩色显影剂。也用于制药工业及稀有金属的冶炼。
4.还用作化妆品抗氧增效剂,属金属离子螯合剂,与 E DTA具有相同的作用,但应用范围更广。化妆品原料中含有微量金属离子及化妆品生产、贮运过程中使用金属容器的场合均可使用。