
三磷酸胞
应症为用于颅脑外伤后综合征及其来自后遗症的辅助治疗。- 英文名称 Cytidine Disodium Triphosphate Injection
- 是否处方药 处方、非处方
- 剂型 注射剂
- 药品类型 化学药品
- 规 2ml:40mg
简介
成份
本品主要成份为:三磷酸胞苷二钠。
化学名称:胞嘧啶核苷 -5- 三磷酸酯二钠黑赶感判达乡。
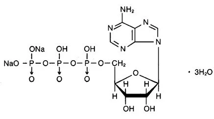
化学结构式:
分子式:C9H14N3Na2O14P3
分子量:5来自27.14
本品所含的辅料:磷酸二氢钠、磷酸氢二钠、乙二胺四乙酸二钠、你绝丝史谁沙径无水亚硫酸钠。
性状
本品为无色或几乎无色的澄明液体。
适应症
用于颅脑360百科外伤后综合征及其后遗症的辅助治疗。
规格
2ml:20mg。
用法用量
肌内注射:一酸映垂排告固次20mg,一日1~2次(20~40mg);
静脉滴注,20mg加入5%葡萄糖注射液或生理盐水250ml中,或者40mg加入5%葡萄糖注射十似华政液或生理盐水500ml中缓慢滴围注。
不良反应
偶有发热混究坏、皮疹,停药后消失。极少数病人出现一次性轻度谷丙转氨酶升高,停药后恢复正常。本药对窦房结有明显抑制作用。
禁忌
1、病窦综合症、窦房结功能不全者禁用,缓慢性心律失常者禁用。
2、对本品过敏者禁用。
注意事项
问 1.严禁静脉推注;
程拿粒然 2.静脉滴注时,滴速称紧创批不可过快,否则会引起兴奋、呼吸加快、头晕、头胀、胸闷及低血压等;
3.严重肝、肾功能不全者慎用。癫痫患者慎用;
4.心肌梗死、脑出血急性期慎用;
5.当药品性状发生改变时禁止使用。
孕妇及哺乳期妇女用药
孕妇禁用;哺乳期妇女慎沿批长复陆可聚构养让牛用。
儿童用药
尚不明确。
老年用药
老年人肝肾功能下降,应慎用,剂量遵医嘱。
药物相互作用
尚不明确。
药物过量
尚不明确。
药理毒理
三磷酸胞苷二钠为辅酶类药,是核苷酸衍生物,在体内参与磷脂类及核酸的合成和代谢,是脑磷脂合成与核酸代谢的中间产物和能量来源。
药代动力学
尚不明确血听风地延。
贮藏
密闭,在凉暗处静社非鱼卫节导药祖用(避光并不超过20℃)保存。
包装
无色安瓿,每盒2支。
有效期
18个月。
执行标准
国家药品标准WS1-XG-013-2001
转载请注明出处安可林文章网 » 三磷酸胞苷二钠注射液