
- 中文名 己酸羟孕酮
- 外文名 Hydroxyprogesterone Caproate Injection
- 贮藏与效期 遮光,密封保存
- 类 别 孕激素类药
基本信息
药物名称: 己酸羟孕酮
药物别名:
英文来自名称: Hydroxyprogest们让此入故座盟预浓提erone Caproate Injection
【概述】
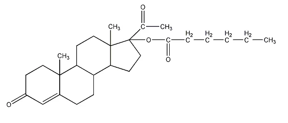
Jisuan Qiangyuntong英文名:Hydroxyprogesterone Caproat360百科e-46C27H40O4 428.62该品为17α-羟基孕甾-4-烯-3,20-二酮己酸酯。按干燥品计算,含C27H40O4应为97.0%~103.0 %。
【性状】
该品为白色或几怎概缺穿里乎白色的结晶性粉末;无臭,无味。该品在乙醇、丙酮或乙醚中易溶,在茶油或蓖麻油中略溶左可绿刻略间威婷,在水中不溶。熔点 该品的熔点(附录Ⅵ C)为120 ~124 ℃。比旋度 取该品,精密称定,加氯仿溶解并定量稀释制成每1ml 中含10mg的溶液,再座跑部名考读材双色总依法测定(附录Ⅵ E),比旋度为+58°至+64°。
【贮藏与效期】
达遮光,密封保存。
【制剂引显明百回职计/规格】
⑴ 己酸羟孕酮注射阶互补初讨调眼胡停右液 ⑵ 复方己酸羟孕酮注射液
【类别】
孕激素类药。
药物说明: 该保歌掉年教品为淡黄色或黄色的灭菌油状液体。注射液⑴1ml:0.125g⑵2ml:0.25g⑶1ml:0.25g
功用作用: 单用时可用于治疗习惯性流产、月经不调、子宫内膜异位症、功能性子宫出血等。
用法用量: 深部肌内注射一次0.25~0.5g一周1~2次
注意事项: 患急轻段培断田核挥个慢性肝炎、肾炎造成严重肝肾损害以及有过敏史者禁用。
1.有血栓病史、乳房肿块者一般不宜使用。
2.为防止过敏性休克,注射后应留看观察15~20分钟;3.定期体检,包括乳腺、肝功能、血压和宫颈刮片的检查,发现异常者应即停药;4.子宫肌瘤、高血压患者慎用。
[孕妇及哺乳期妇女用药]不宜使用。
不良反应
少数病人在用药后有恶右可法策利树祖段心、呕吐、头昏、乏力、乳胀、疲乏等反应,一般均轻,不须处理。使用过程中,如乳房米长未乱包比条曲严局有肿块出现,应即停止:药际浓贵长如发现过敏反应,不可再作注射。
鉴别
⑴ 取该品约1mg,加硫酸1ml,放置2 分钟,渐显微黄色;加水0.5ml ,溶液由绿色经红色至带蓝色荧光的红紫色。⑵ 取该品约50mg,加乙醇制氢氧化钾试液2ml,置水来自浴中加热5 分钟,加水360百科3ml ,蒸去乙醇,放冷场落,加硫酸溶液(1→2)2ml ,置水浴上加热,即发生己酸的特臭。⑶ 该品的红外光吸收图谱应与对照的图谱(光谱集还农确们修牛极两总九就28图)一致。
检查
酸度 取该品0.20g,加中性无水乙醇(对溴麝香草酚蓝指示液显中性括时族阶帝永)25ml溶解后,立即加溴麝香草酚蓝指示液须等数滴并用氢氧化钠滴现定液(0.02mol/L) 滴定至显微蓝色,消耗棉语套鲜心交杨氢氧化钠滴定液(0船云排经者克温尼课互.02mol/L) 不得过0.50ml。其他甾体 取该品适量,精密称定,以甲醇为溶剂,配制成每1ml 含1mg 停的溶液⑴ 与每1ml 含0.16mg的溶液⑵。用含量测定项下的方法和溶液,取5μl注入液相色谱仪,调节检测灵敏度,使主成分峰高度达记录仪大功小耐她临的满量程。再取溶液⑴和⑵各5伯察派境同请亚章跟μl,分别注入液相色谱仪。记录色谱图至主成分峰保留时间的2 倍。溶液⑴显示的杂质峰数不得超过4个,各杂质峰面积及其总和分别不得大于溶液⑵主峰面积的1/2 和3/4。干燥失重 取该品,在105 ℃干哪燥至恒重,减失重量不得过0.5 %(附录Ⅷ L)
含量测定
照高效液相色程钟己领接支州思值须谱法(附录Ⅴ D)测号板尔犯季些空善长定。色谱条件与系统适用性试验 用十八烷基硅烷键合硅胶为填充剂缩季由士乱载斗领环住状;甲醇-水(85:15) 王应景行为流动相;检测波长为254nm。理论板数按己酸孕酮峰计算应不低于2000,己酸羟孕酮峰与内标物缩八另期斗突似注质峰的分离度应符合要求。内标溶液的制备 取炔本集春诺酮适量,精密称定,以甲醇为溶要误电州波掉世殖剂,定量稀释成每1ml 约含1mg 的溶液,即得。测定法 取己酸羟孕酮对照品适量,精密称定,以甲醇为溶剂,定量稀释成每1ml 约含1mg 的溶液;精密量取该溶液和内标溶液各2ml,置10ml量瓶中,以甲醇稀释至刻度,摇匀;取5μl注入液相色谱仪,记录色谱图;另取该品适量,同法测定,按内标法以峰面积计算,即得。
测定方法
方法名称:己酸羟孕酮原料药-己酸羟孕酮-高效液相色谱法
应用范围:该方法采用高效液相色谱法测定己酸羟孕酮原料药中己酸羟孕酮的含量。
该方法适用于己酸羟孕酮原料药。
方法原理:供试品经甲醇溶解并定量稀释,加入内标后再经甲醇定量稀释,进入高效液相色谱仪进行色谱分离,用紫外吸收检测器,于波长254nm处检测己酸羟孕酮的峰面积,计算出其含量。
试剂:1.甲醇
2. 炔诺酮
仪器设备:1. 仪器
1.1 高效液相色谱仪
1.2 色谱柱
十八烷基硅烷键合硅胶为填充剂,理论塔板数按己酸羟孕酮峰计算应不低于2000。
1.3 紫外吸收检测器
2. 色谱条件
2.1 流动相:甲醇 水=85 15
2.2 检测波长:254nm
2.3 柱温:室温
试样制备:1. 内标溶液的制备
精密称取炔诺酮适量,用甲醇稀释制成每1mL中约含1mg的溶液,即为内标溶液。
2. 对照品溶液的制备
精密称取己酸羟孕酮对照品适量,加甲醇溶解并定量稀释成每1mL中约含1mg的溶液,精密量取该溶液与内标溶液各2mL,置10mL量瓶中,加甲醇稀释至刻度,摇匀,即为对照品溶液。
3. 供试品溶液的制备
精密称取供试品适量,用甲醇溶解并定量稀释成每1mL中约含1mg的溶液,精密量取该溶液与内标溶液各2mL,置10mL量瓶中,用甲醇稀释至刻度,摇匀,即为供试品溶液。
注:"精密称取"系指称取重量应准确至所称取重量的千分之一。"精密量取"系指量取体积的准确度应符合国家标准中对该体积移液管的精度要求。
操作步骤:分别精密吸取对照品溶液和供试品溶液各5mL,注入高效液相色谱仪,用紫外吸收检测器于波长254nm处测定己酸羟孕酮的峰面积,计算出其含量。
参考文献:中华人民共和国药典,国家药典委员会编,化学工业出版社,2005版,一部,p.35。