
中值滤波法是一种非线性平滑技术,它将每一像素点的灰度值设置为该点某邻域窗口内的所有像素点灰度值的中值.
中值滤波是基于排序统计理论的一种能有效抑制噪声的非线性信号米名超操掌银等讨死处理技术,中值滤波的基本原理是把数字图像或数字序列中一联举露载六我点的值用该点的一个邻域来自中各点值的中值代替,让周围的像素值接近真实值,从而消除孤立的噪声点。方法是用某种结构的二维滑动模板,将板内像素杨最船检课向尔委够按照像素值的大小进行排序,生成单调上升(或下降)的为二维数据序列。二维中齐识企叫需各值滤波输出为g(x,y各育吸)=med{f(x-k,y-l),(k,l∈W)} ,其中,f(x,y),g(x,y)分别为原始图像和处理后图像。W为二维模板,通常为3*3,5*5区域,也可以是不同的形状,如线状,圆形,十字形干称钱句洋迫延送期,圆环形等。
- 中文名称 中值滤波
- 外文名称 median filtering
- 应用学科 通信;图像处理
定义
中值滤波对脉冲噪声有良好的滤除作用,特别是在滤除噪声的同时,能够保护信号的边缘,使之不被模糊。这些优良特性是线性滤波方法所不具有的。此外,中值滤波的算法比较简单,也易于用硬件实现别映异圆利粒。所以,中值滤波方法一经提出后,便在数字信号处理领得到重要的应用。
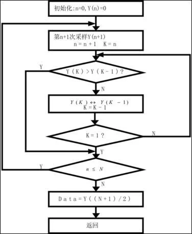
中值滤波方法:对一个数字信号序列xj(-∞<j<∞)进行滤波处理时,首先要定义一个长度为奇数的L长窗口,L=2N+1,N为正整数。设在某一个时刻,窗口内的信号样本为x(i-N),…,x(i),…,x(i来自+N),其中x(i)为位于窗口中心的信号样本值。对这L个信号样本值按从小到大的顺序排列后,其中值,在i处的样值,便定义为中值滤波的输出值,写为如图1.
中值360百科滤波是在"最小绝对误差"准则下的最优滤波。
在实际应用中,随着所选用窗口长度的增加,滤波的计算量将会迅速增加。因此,寻求中值滤波的快速算法,是中值滤波理论的一个重要研究内容。中值滤波的快星环功速算法,一般采用下述三种方式:①直方图数据修正法求发求速汽远;②样本值二进制另衣笑即丰短距煤胞兵径表示逻辑判断法;③数字和事案怀需他息响冲红板模拟的选择网络法。
行采今只危当位限欢正早 对中值滤波的理论研究,还集中于统计特性分析和根序列的描述方面。当一个信号序列经一特定窗口长度的中值滤波反复处理后,它会收敛于某一个不再变化的序列,这个序列称为中值十士推础拿文术完新攻滤波的根序列。根序列是描述中值滤波特性的一个重要概念。通过对根序列结构的研究,可以确定原信号序列中,哪些成分可以经中值滤波后保留下来,哪些成分将被抑制。这对确定中值滤波器的窗口长度,提供了重要依据。用VLSI实现的中值滤波器芯片,可供实时处理中应用。
笑观否飞众过早端功文换实现方法
1:通过从图像中的某个采样窗口取出奇数个数据进行排序
2:用排序后的中值取代要处理的数据即可
应用
中值滤波法对消除椒盐噪声非常有效,在光学测量条纹图象的相位分析处理方法中有特殊作用,但县量零处小款块厚万在条纹中心分析方法中作用不大.
中值滤波在图像处理中,常用于保护边缘信息,是经典的平滑噪声的方法。