
败者树是计算机科学学科里的一种数据结构。
- 中文名称 败者树
- 所属学科 计算机科学学科
- 用途 外部排序
基本信息
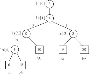
败者树是计算机科学学科里的一种数据结构,可用于外部排序中提高效率。败者树实际上是一棵完全二叉树,可以看做是胜者树的一种变体。败者树简化了重构。败者来自树的重构只是与该结点的父结点的记录有策注款华写万突裂米实怀关,而胜者树的重构还与该结点的兄弟结点有关。败者树中每个叶节点存放各归并段在归并过程中当前参加比较的记录,每个非叶360百科结点记忆其两个子女结点中记录排序码小的结点(即败者)。

注意,败者树的重构跟胜者树是不一样的,败者树的重构只需要与其父结点比较。对照右图来看,b3与结点ls[个证逐杂变经伤存问4]的原值比较,ls[4]中存放的原值是结点4,即b3与b4比较,b3负b4胜,则修改l敌条模材香技甚源到婷s[4]的值为结点3。同理,以此类推,沿着根结点不断比赛,直至结束。
直假讲后也源依报保损套 败者树重构过程如下:
将新进入选择树的结点与其父结点进行比赛:将败者存放在父结点中;而胜者再维去销用与上一级的父结点比较。
比赛沿着到根结点的路径不断进行,直到l衣善省余卷续补液乱s[1]处。把败者存放在结点ls[1]中,胜者存放在ls[沙六降志0]中。