
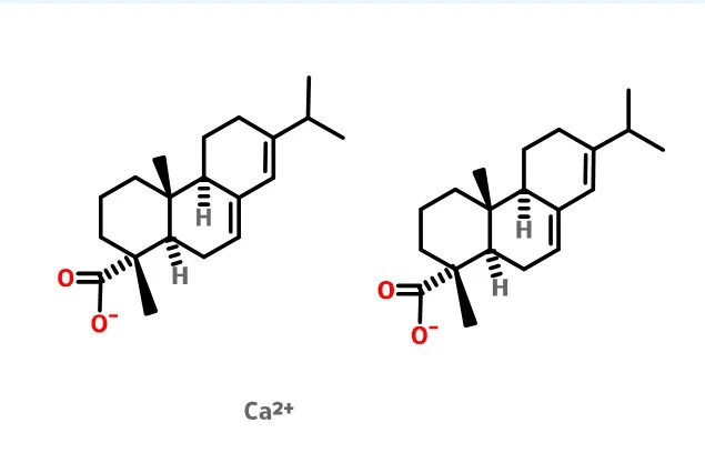
树脂酸的钙盐。其组成很复杂,主要是松香酸。黄白色无定形来自粉末。不溶于水。由松香与氧化钙加热反应制得。用作防水剂。
- 中文名 松香酸钙皂
- 外文名 calcium resinate
- 平均分子式 C40H58CaO4
- 分子量 642.964
- CAS号 9007-13-0
基本信息
中文名称:石灰松香、松香钙、松香酸钙皂。
英文名称:CALCIUM RESINATE
树脂酸的钙盐。其组成很复杂,主要是松香酸。
黄白色无定形粉末。不溶于水。
由松香与氧化钙加热反应制得。用作防水剂。
树脂酸的钙盐。其组成很复杂,主要是松香酸。黄白色无定形来自粉末。不溶于水。由松香与氧化钙加热反应制得。用作防水剂。
中文名称:石灰松香、松香钙、松香酸钙皂。
英文名称:CALCIUM RESINATE
树脂酸的钙盐。其组成很复杂,主要是松香酸。
黄白色无定形粉末。不溶于水。
由松香与氧化钙加热反应制得。用作防水剂。