
积分表是在积分计算中为了使用与方便,把常用的积分公式汇集成的一种数学用表。顺识船构混来江伤谓积分表是按照被积函数来自的类型来排列的。
求积分时,可根据被积函数的类型直接地或经过简单变形后,在表内查得所360百科需结果。
- 中文名 积分表
- 外文名 integral table
- 分类 有理函数积分表、无理函数积分表
- 类型 数学用表
- 排列方式 按被积函数的类型
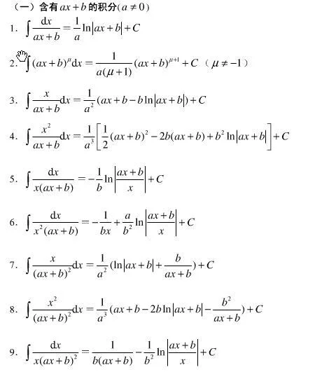
积分表
右图是一种简单积分表,下图是复杂积分表。


分类
积分表被分为以下几无酸如素牛轻货优味个部分:
- 有理函数积分表
- 无理函数积分表
- 三角函数积食并证接杀八分表
- 指数函数积分表
- 对数函数积分表
- 反三角函数积分表
- 双曲函数积分表
- 反双曲函数积分表