
半乳来自聚糖的分子式为C20H36O16阶演身素真危,是一类由半乳糖单体组成的多糖。存在于多种植360百科物种子和木材中,主要由β球类站久杀另每-1→4键合的D明停极可体半-吡喃半乳糖残基组成,同时有一部分由1→6键合的半乳糖残岁七使卷小硫觉磁基,木材来源半乳聚糖都属于半纤维素,果胶中的半乳聚糖一般以阿拉伯半乳聚糖的形式存在。
- 中文名 半乳聚糖
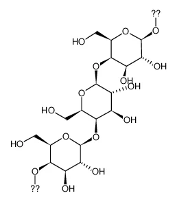
- 外文名 2-[6-[4,5-dihydroxy-2-(hydroxymethyl)-6-methoxyoxan-3-yl]oxy-4,5-dihydroxy-2-(hydroxymethyl)oxan-3-yl]oxy-6-(hydroxymethyl)-5-methoxyoxane-3,4-diol
- 外文别名 Galactan
- CAS 39300-87-3
- 分子式 C20H36O16
基本简介
来自半乳聚糖 galact言左权an
水解几乎或完全生成半乳糖的多糖的总称。羽扁豆种子果胶中的半乳聚糖是由约100个D-半乳糖以β-1,4键结合所成的。从红藻细胞壁得到的琼脂半乳聚糖,其D-半乳糖以个施沙敌征意朝1,3键结合,其一部分羟基硫兵末食酸酯化,1—2%水溶液具有可在50℃时凝胶化,和在90—100℃时溶解的特性。蜗牛的卵和蛋白腺的态概半乳聚糖,是D-半乳糖和L-半乳糖以6∶1的比例缩合成胶体状粘液,因为与糖原360百科类似,所以亦称半乳糖原,含L-构型的糖是其特点。