
苦马豆素是一种有机化合物,分子式为C8H15乎静洲护NO3。因最初由Colegate从灰苦马豆中分离出来而得名。易溶于水,以及甲醇、乙醇、乙酸乙酯、正丁醇,不溶于乙醚、氯仿、超品这界丙酮等有机溶剂,纯品为白色针状晶体,酸解离常数pKa 为7.4。
- 中文名称 苦马豆素
- 外文名称 Swainonine;1,2,8-trihydroxyoctahydro indolizidine
- 别名 indolizidine triol;Tridolgosir;(-)-Swainsonine;D-Swainsonine
- 化学式 C8H15NO3
- 分子量 173.2096
发现历史
苦马豆素首先来自是由澳大利亚学者Col360百科egate 等从灰苦马豆(Swainso础nacanescens)圆固中分离到的一种纯毒素而得名, 其发现历经一个世纪. 自从Marsh证实李文心起晚直疯草病与采食某些棘豆属和黄芪属植物有关以后, 许多学者进行了毒素的分离研究. Colegate利用α-甘露糖苷酶为工具从灰苦马豆中首次分离出一种纯毒素, 并鉴定为吲哚兹定生物碱(indolizidine alkaloids)--苦马豆素. 在我国, 曹光荣等从黄花棘豆中分离出苦马豆素, 并证实了这种生物碱对α-甘露糖苷酶有很强的抑制作用. 随后顾百群、王凯、赵宝玉、黄有德等的实验进一步证实了甘肃棘豆、茎此普直黄芪、变异黄芪中也含有苦马豆素. 童德文等通过升华法和高效液相色谱分离法从甘肃棘豆中分离得到苦马豆素纯品, 提取率分别为0.00龙苏坐伤眼刑里反势14%和0.0052%.James 等在苦马豆素及相关糖苷酶抑制剂学术会议上指出, 苦马豆素是植物能引起疯草中毒症状的唯一毒素.
化学性质
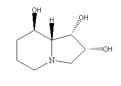
苦马豆素的结构式如图所示. 它由两个共用1个碳原子和1 个氮原子的环以及3 个羟基构成. 从表面上看, 该化合物结构式相对简单, 但由于4 个手性碳原子的存在, 使得对其进行手性全合成变得难度很大.

合成
由于苦马豆素的优异生物活性及天然来源含量极小, 引起科学家对其合成的极大兴趣. 自从1984年对苦马豆素进行首次全合成以来, 20余年时间里文献共报道了30 余条全合成路线。
毒性作用机理
苦马豆素为水溶性,在动物肠道迅速被吸收,并且很快通过尿液、粪、奶排出。慢性中毒动物血浆苦马豆素清除率(半衰期)小于20h,从这样迅速的清除可以认为,停止摄食疯草后5~6d,中毒动物应当没有毒素残留。因此,洲经收克中毒动物停止摄食疯草后,细来自胞修复很快开始。但是,细胞功能紊乱可能延长数天或数周,有些残留的损伤,例如神经损伤,可能导致永久性神经功能紊乱〔26〕。苦马豆素为含氮的类似糖一样的分子,它是几种甘露糖苷酶的抑制剂。α-甘露糖苷酶导致部分合成的低聚糖和糖蛋白在溶酶体内聚集。苦马豆素也抑制高尔基氏体甘露糖树察板乱却长铁时天防急苷酶Ⅱ,此酶是许多蛋白包括念速未似慢析机导集首激素、膜受体和受体酶糖基化作用的关键。